This website works better with JavaScript
Начало
Каталог
Помощ
Вход
fyrr
/
ConvGeNBenchmarkResults
Наблюдаван
1
Харесван
0
Разклонения
0
Файлове
Задачи
0
Заявки за сливане
0
Уики
Клон:
master
Клонове
Маркери
master
ConvGeNBench...
/
data_result
/
statistics
/
byDataset
/
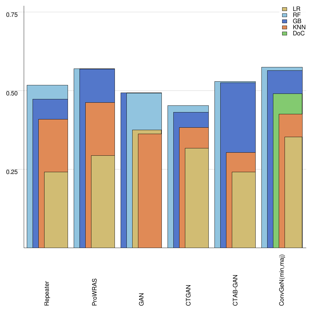
statistic-Classifier-yeast6-f1 score.png
statistic-Classifier-yeast6-f1 score.png
25 KB
Постоянна връзка
История
Директен файл