This website works better with JavaScript
صفحهٔ اصلی
گشتوگذار
راهنما
ورود
fyrr
/
ConvGeNBenchmarkResults
دنبال کردن
1
ستاره دار
0
انشعاب
0
پروندهها
مشکلات
0
درخواست واکشی
0
ویکی
شاخه:
master
شاخهها
تگها
master
ConvGeNBench...
/
data_result
/
statistics-30
/
byAlgorithm
/
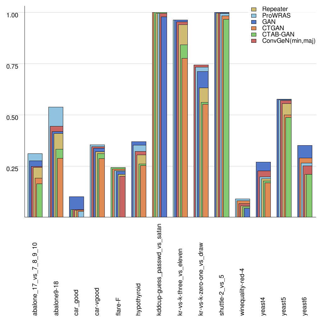
statistic-LR-cohens kappa score.png
statistic-LR-cohens kappa score.png
55 KB
لینک دائمی
تاريخچه
خام