This website works better with JavaScript
首页
发现
帮助
登录
fyrr
/
ConvGeNBenchmarkResults
关注
1
点赞
0
派生
0
文件
工单管理
0
合并请求
0
Wiki
目录树:
a0a440adb0
分支列表
标签列表
master
ConvGeNBench...
/
data_result
/
statistics
/
byDataset
/
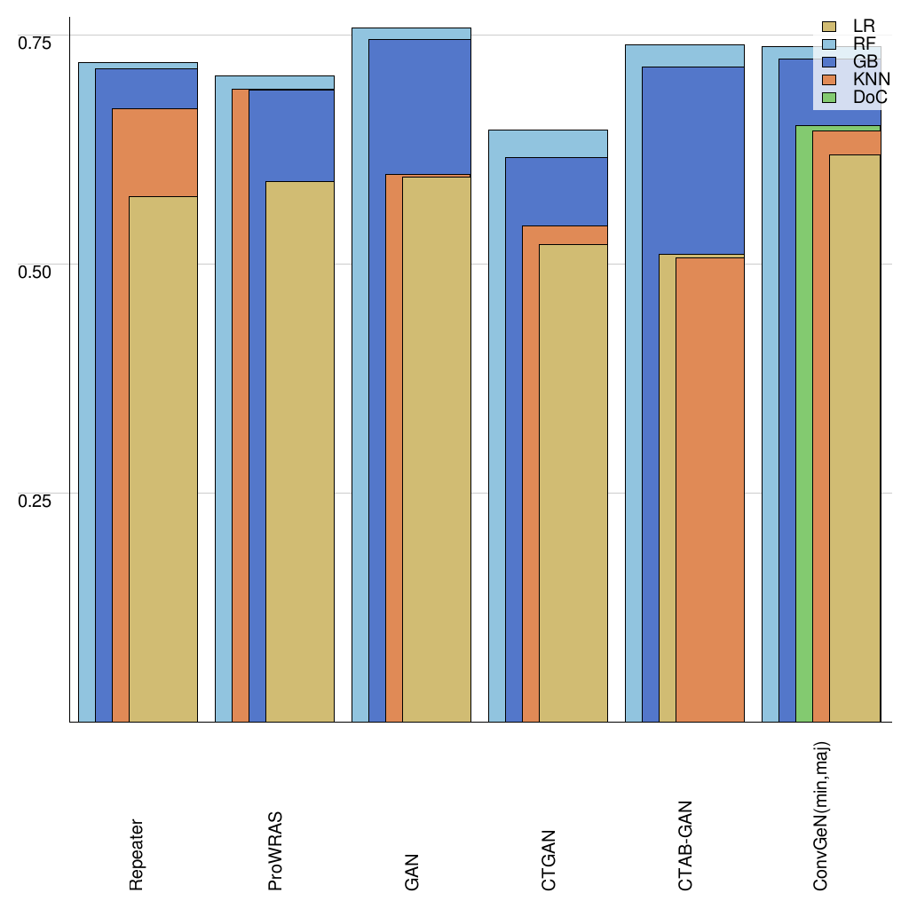
statistic-Classifier-yeast5-f1 score.png
statistic-Classifier-yeast5-f1 score.png
26 KB
文件历史
原始文件