Browse Source

Created statistics for newest benchmark

Kristian Schultz 3 years ago
parent
commit
d6d0314a94
52 changed files with 0 additions and 0 deletions
  1. BIN
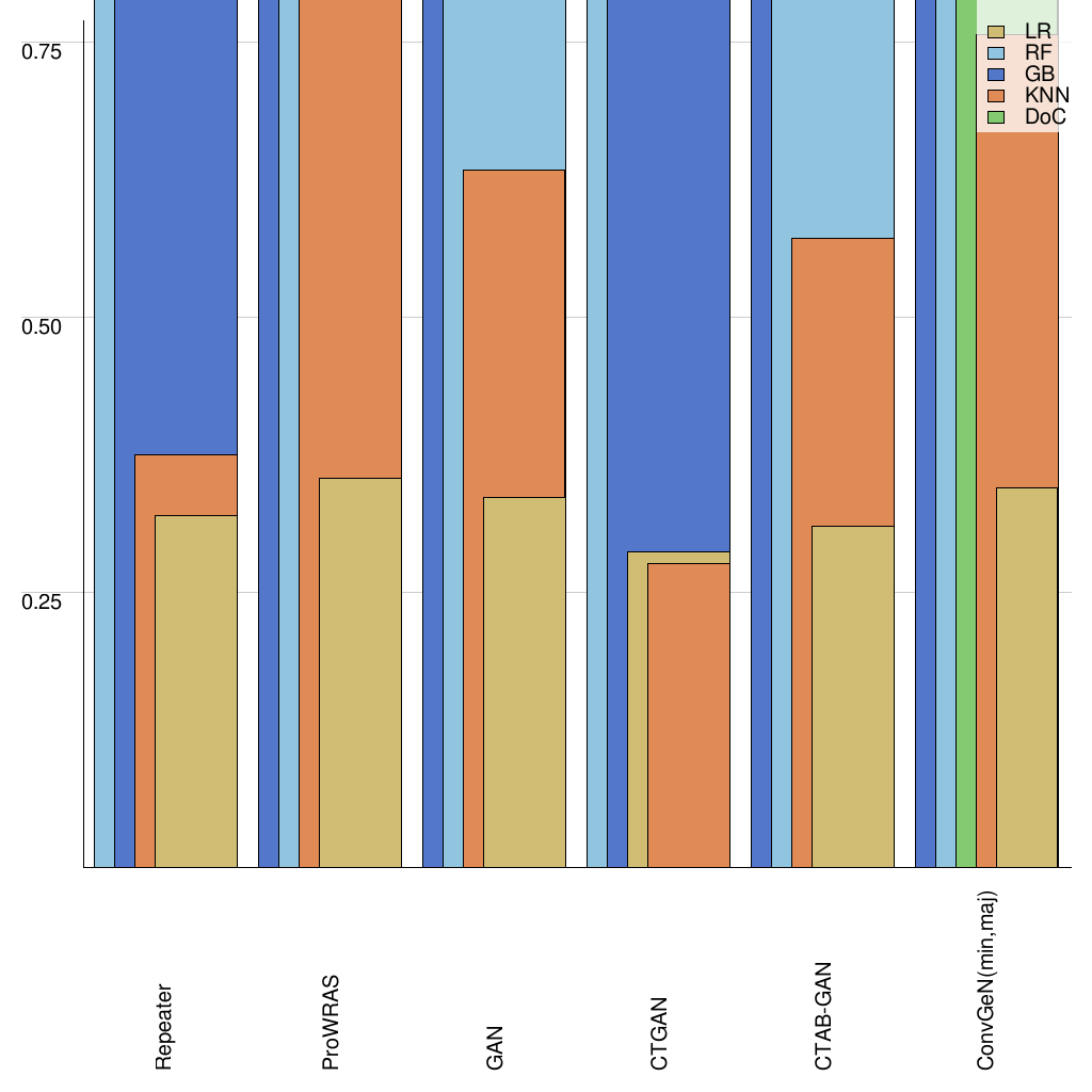
      data_result/statistics/average/statistic-Algo-Average-cohens kappa score.png
  2. BIN
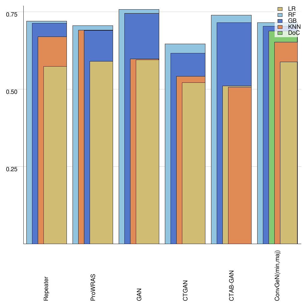
      data_result/statistics/average/statistic-Algo-Average-f1 score.png
  3. BIN
      data_result/statistics/byAlgorithm/statistic-DoC-cohens kappa score.png
  4. BIN
      data_result/statistics/byAlgorithm/statistic-DoC-f1 score.png
  5. BIN
      data_result/statistics/byAlgorithm/statistic-GB-cohens kappa score.png
  6. BIN
      data_result/statistics/byAlgorithm/statistic-GB-f1 score.png
  7. BIN
      data_result/statistics/byAlgorithm/statistic-KNN-cohens kappa score.png
  8. BIN
      data_result/statistics/byAlgorithm/statistic-KNN-f1 score.png
  9. BIN
      data_result/statistics/byAlgorithm/statistic-LR-cohens kappa score.png
  10. BIN
      data_result/statistics/byAlgorithm/statistic-LR-f1 score.png
  11. BIN
      data_result/statistics/byAlgorithm/statistic-RF-cohens kappa score.png
  12. BIN
      data_result/statistics/byAlgorithm/statistic-RF-f1 score.png
  13. BIN
      data_result/statistics/byDataset/statistic-Classifier-Average-cohens kappa score.png
  14. BIN
      data_result/statistics/byDataset/statistic-Classifier-Average-f1 score.png
  15. BIN
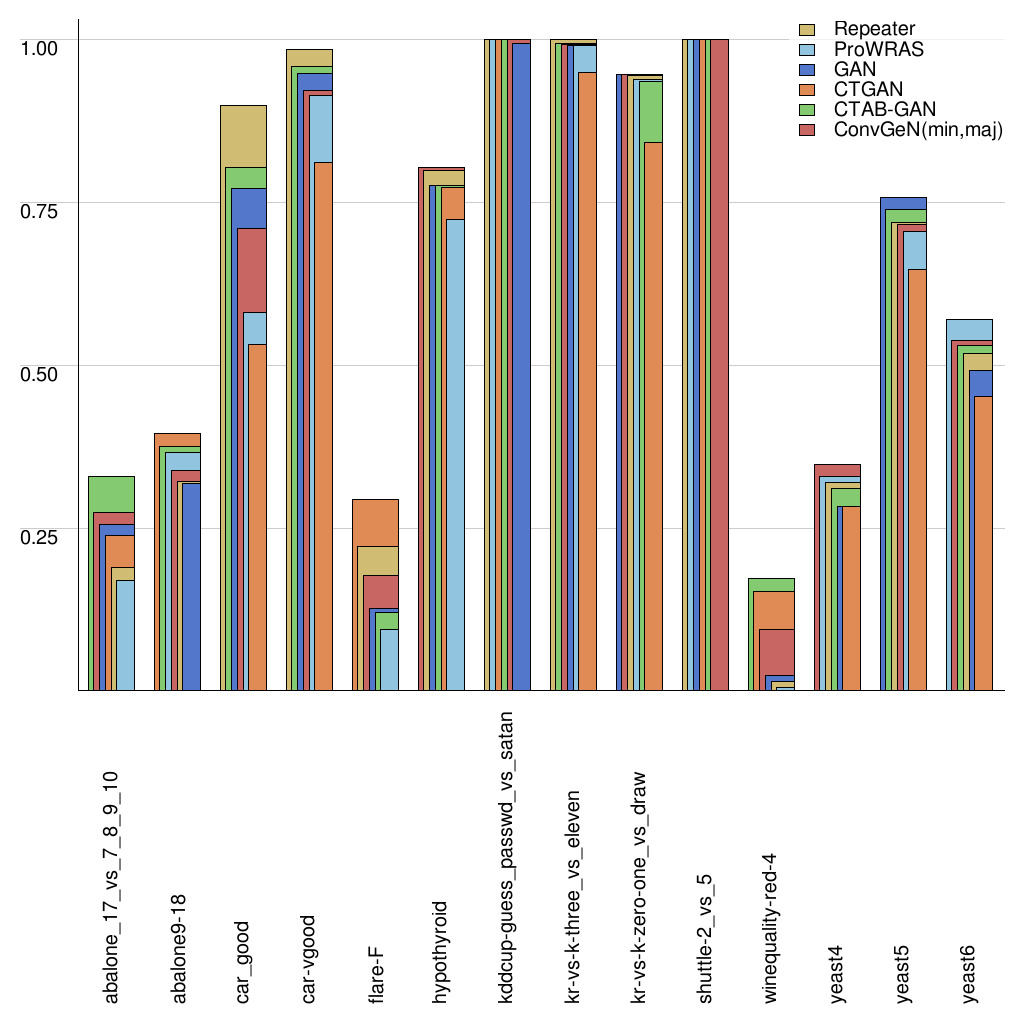
      data_result/statistics/byDataset/statistic-Classifier-abalone9-18-cohens kappa score.png
  16. BIN
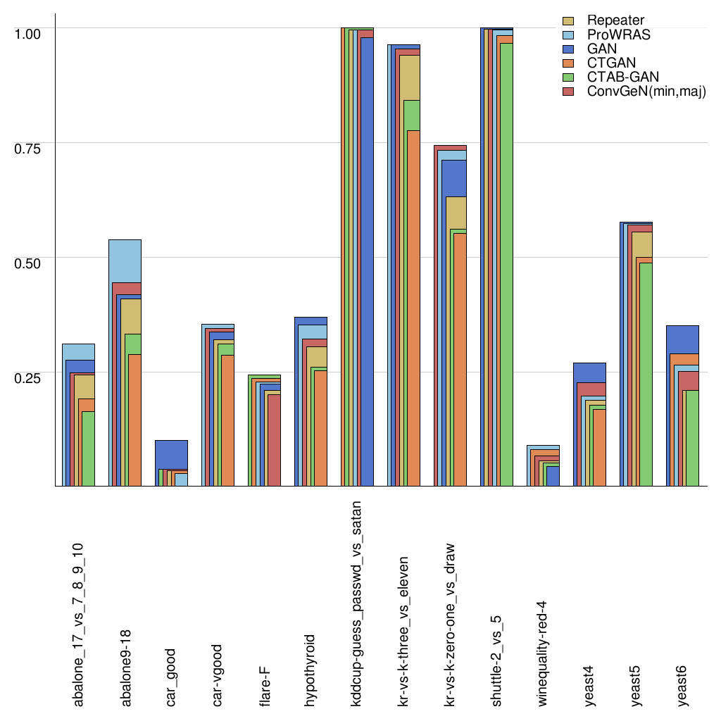
      data_result/statistics/byDataset/statistic-Classifier-abalone9-18-f1 score.png
  17. BIN
      data_result/statistics/byDataset/statistic-Classifier-abalone_17_vs_7_8_9_10-cohens kappa score.png
  18. BIN
      data_result/statistics/byDataset/statistic-Classifier-abalone_17_vs_7_8_9_10-f1 score.png
  19. BIN
      data_result/statistics/byDataset/statistic-Classifier-car-vgood-cohens kappa score.png
  20. BIN
      data_result/statistics/byDataset/statistic-Classifier-car-vgood-f1 score.png
  21. BIN
      data_result/statistics/byDataset/statistic-Classifier-car_good-cohens kappa score.png
  22. BIN
      data_result/statistics/byDataset/statistic-Classifier-car_good-f1 score.png
  23. BIN
      data_result/statistics/byDataset/statistic-Classifier-flare-F-cohens kappa score.png
  24. BIN
      data_result/statistics/byDataset/statistic-Classifier-flare-F-f1 score.png
  25. BIN
      data_result/statistics/byDataset/statistic-Classifier-hypothyroid-cohens kappa score.png
  26. BIN
      data_result/statistics/byDataset/statistic-Classifier-hypothyroid-f1 score.png
  27. BIN
      data_result/statistics/byDataset/statistic-Classifier-kddcup-guess_passwd_vs_satan-cohens kappa score.png
  28. BIN
      data_result/statistics/byDataset/statistic-Classifier-kddcup-guess_passwd_vs_satan-f1 score.png
  29. BIN
      data_result/statistics/byDataset/statistic-Classifier-kr-vs-k-three_vs_eleven-cohens kappa score.png
  30. BIN
      data_result/statistics/byDataset/statistic-Classifier-kr-vs-k-three_vs_eleven-f1 score.png
  31. BIN
      data_result/statistics/byDataset/statistic-Classifier-kr-vs-k-zero-one_vs_draw-cohens kappa score.png
  32. BIN
      data_result/statistics/byDataset/statistic-Classifier-kr-vs-k-zero-one_vs_draw-f1 score.png
  33. BIN
      data_result/statistics/byDataset/statistic-Classifier-shuttle-2_vs_5-cohens kappa score.png
  34. BIN
      data_result/statistics/byDataset/statistic-Classifier-shuttle-2_vs_5-f1 score.png
  35. BIN
      data_result/statistics/byDataset/statistic-Classifier-winequality-red-4-cohens kappa score.png
  36. BIN
      data_result/statistics/byDataset/statistic-Classifier-winequality-red-4-f1 score.png
  37. BIN
      data_result/statistics/byDataset/statistic-Classifier-yeast4-cohens kappa score.png
  38. BIN
      data_result/statistics/byDataset/statistic-Classifier-yeast4-f1 score.png
  39. BIN
      data_result/statistics/byDataset/statistic-Classifier-yeast5-cohens kappa score.png
  40. BIN
      data_result/statistics/byDataset/statistic-Classifier-yeast5-f1 score.png
  41. BIN
      data_result/statistics/byDataset/statistic-Classifier-yeast6-cohens kappa score.png
  42. BIN
      data_result/statistics/byDataset/statistic-Classifier-yeast6-f1 score.png
  43. BIN
      data_result/statistics/successCount/statistic-DoC - cohens kappa score.pdf
  44. BIN
      data_result/statistics/successCount/statistic-DoC - f1 score.pdf
  45. BIN
      data_result/statistics/successCount/statistic-GB - cohens kappa score.pdf
  46. BIN
      data_result/statistics/successCount/statistic-GB - f1 score.pdf
  47. BIN
      data_result/statistics/successCount/statistic-KNN - cohens kappa score.pdf
  48. BIN
      data_result/statistics/successCount/statistic-KNN - f1 score.pdf
  49. BIN
      data_result/statistics/successCount/statistic-LR - cohens kappa score.pdf
  50. BIN
      data_result/statistics/successCount/statistic-LR - f1 score.pdf
  51. BIN
      data_result/statistics/successCount/statistic-RF - cohens kappa score.pdf
  52. BIN
      data_result/statistics/successCount/statistic-RF - f1 score.pdf

BIN
data_result/statistics/average/statistic-Algo-Average-cohens kappa score.png


BIN
data_result/statistics/average/statistic-Algo-Average-f1 score.png


BIN
data_result/statistics/byAlgorithm/statistic-DoC-cohens kappa score.png


BIN
data_result/statistics/byAlgorithm/statistic-DoC-f1 score.png


BIN
data_result/statistics/byAlgorithm/statistic-GB-cohens kappa score.png


BIN
data_result/statistics/byAlgorithm/statistic-GB-f1 score.png


BIN
data_result/statistics/byAlgorithm/statistic-KNN-cohens kappa score.png


BIN
data_result/statistics/byAlgorithm/statistic-KNN-f1 score.png


BIN
data_result/statistics/byAlgorithm/statistic-LR-cohens kappa score.png


BIN
data_result/statistics/byAlgorithm/statistic-LR-f1 score.png


BIN
data_result/statistics/byAlgorithm/statistic-RF-cohens kappa score.png


BIN
data_result/statistics/byAlgorithm/statistic-RF-f1 score.png


BIN
data_result/statistics/byDataset/statistic-Classifier-Average-cohens kappa score.png


BIN
data_result/statistics/byDataset/statistic-Classifier-Average-f1 score.png


BIN
data_result/statistics/byDataset/statistic-Classifier-abalone9-18-cohens kappa score.png


BIN
data_result/statistics/byDataset/statistic-Classifier-abalone9-18-f1 score.png


BIN
data_result/statistics/byDataset/statistic-Classifier-abalone_17_vs_7_8_9_10-cohens kappa score.png


BIN
data_result/statistics/byDataset/statistic-Classifier-abalone_17_vs_7_8_9_10-f1 score.png


BIN
data_result/statistics/byDataset/statistic-Classifier-car-vgood-cohens kappa score.png


BIN
data_result/statistics/byDataset/statistic-Classifier-car-vgood-f1 score.png


BIN
data_result/statistics/byDataset/statistic-Classifier-car_good-cohens kappa score.png


BIN
data_result/statistics/byDataset/statistic-Classifier-car_good-f1 score.png


BIN
data_result/statistics/byDataset/statistic-Classifier-flare-F-cohens kappa score.png


BIN
data_result/statistics/byDataset/statistic-Classifier-flare-F-f1 score.png


BIN
data_result/statistics/byDataset/statistic-Classifier-hypothyroid-cohens kappa score.png


BIN
data_result/statistics/byDataset/statistic-Classifier-hypothyroid-f1 score.png


BIN
data_result/statistics/byDataset/statistic-Classifier-kddcup-guess_passwd_vs_satan-cohens kappa score.png


BIN
data_result/statistics/byDataset/statistic-Classifier-kddcup-guess_passwd_vs_satan-f1 score.png


BIN
data_result/statistics/byDataset/statistic-Classifier-kr-vs-k-three_vs_eleven-cohens kappa score.png


BIN
data_result/statistics/byDataset/statistic-Classifier-kr-vs-k-three_vs_eleven-f1 score.png


BIN
data_result/statistics/byDataset/statistic-Classifier-kr-vs-k-zero-one_vs_draw-cohens kappa score.png


BIN
data_result/statistics/byDataset/statistic-Classifier-kr-vs-k-zero-one_vs_draw-f1 score.png


BIN
data_result/statistics/byDataset/statistic-Classifier-shuttle-2_vs_5-cohens kappa score.png


BIN
data_result/statistics/byDataset/statistic-Classifier-shuttle-2_vs_5-f1 score.png


BIN
data_result/statistics/byDataset/statistic-Classifier-winequality-red-4-cohens kappa score.png


BIN
data_result/statistics/byDataset/statistic-Classifier-winequality-red-4-f1 score.png


BIN
data_result/statistics/byDataset/statistic-Classifier-yeast4-cohens kappa score.png


BIN
data_result/statistics/byDataset/statistic-Classifier-yeast4-f1 score.png


BIN
data_result/statistics/byDataset/statistic-Classifier-yeast5-cohens kappa score.png


BIN
data_result/statistics/byDataset/statistic-Classifier-yeast5-f1 score.png


BIN
data_result/statistics/byDataset/statistic-Classifier-yeast6-cohens kappa score.png


BIN
data_result/statistics/byDataset/statistic-Classifier-yeast6-f1 score.png


BIN
data_result/statistics/successCount/statistic-DoC - cohens kappa score.pdf


BIN
data_result/statistics/successCount/statistic-DoC - f1 score.pdf


BIN
data_result/statistics/successCount/statistic-GB - cohens kappa score.pdf


BIN
data_result/statistics/successCount/statistic-GB - f1 score.pdf


BIN
data_result/statistics/successCount/statistic-KNN - cohens kappa score.pdf


BIN
data_result/statistics/successCount/statistic-KNN - f1 score.pdf


BIN
data_result/statistics/successCount/statistic-LR - cohens kappa score.pdf


BIN
data_result/statistics/successCount/statistic-LR - f1 score.pdf


BIN
data_result/statistics/successCount/statistic-RF - cohens kappa score.pdf


BIN
data_result/statistics/successCount/statistic-RF - f1 score.pdf