This website works better with JavaScript
Página Principal
Explorar
Ajuda
Iniciar Sessão
fyrr
/
ConvGeNBenchmarkResults
Vigiar
1
Colocar Estrela
0
Fork
0
Ficheiros
Problemas
0
Pull Requests
0
Wiki
Ver Fonte
Images for diagrams.
Kristian Schultz
há 3 anos atrás
pai
9abd2e1a93
commit
19c14906fd
62 ficheiros alterados
com
0 adições
e
0 exclusões
Visão Dividida
Mostrar Estatísticas Diff
BIN
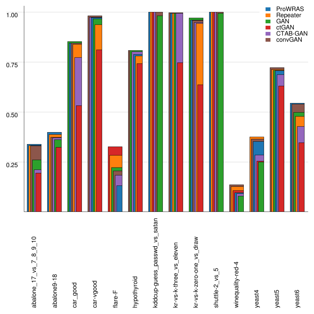
data_result/statistics/average/statistic-Average-cohens kappa score.png
BIN
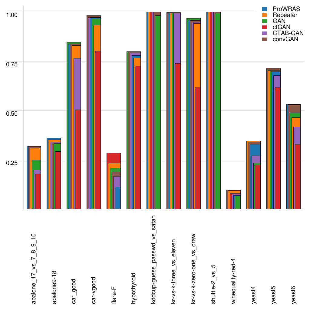
data_result/statistics/average/statistic-Average-f1 score.png
BIN
data_result/statistics/byAlgorithm/statistic-DoG-cohens kappa score.png
BIN
data_result/statistics/byAlgorithm/statistic-DoG-f1 score.png
BIN
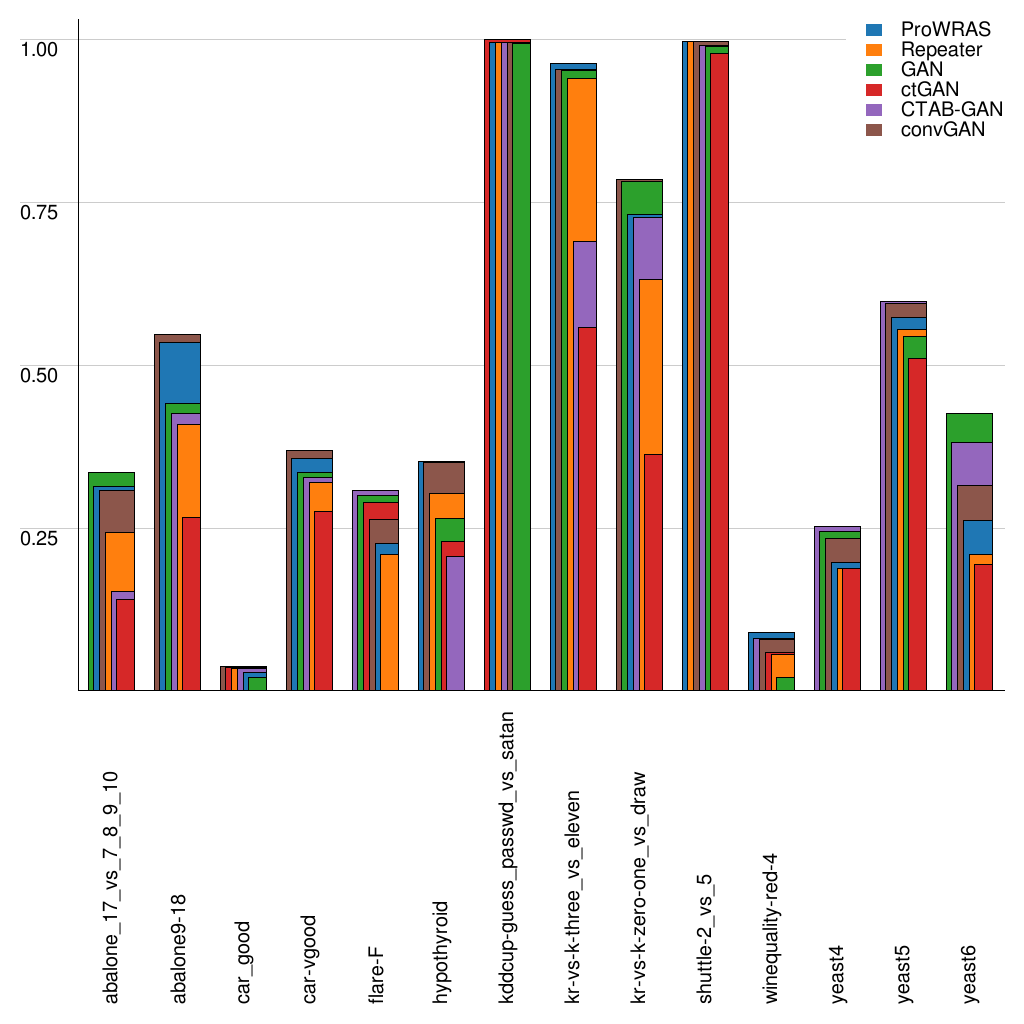
data_result/statistics/byAlgorithm/statistic-GAN-cohens kappa score.png
BIN
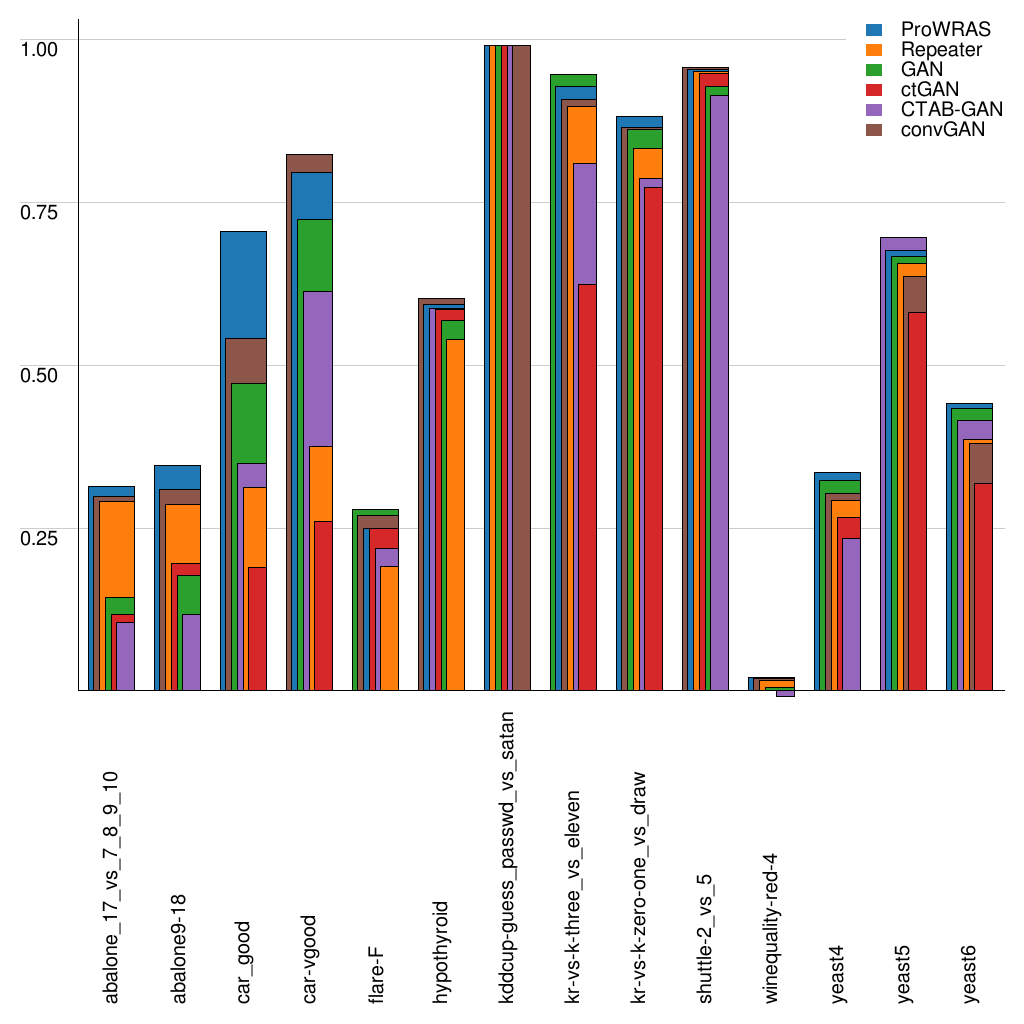
data_result/statistics/byAlgorithm/statistic-GAN-f1 score.png
BIN
data_result/statistics/byAlgorithm/statistic-GB-cohens kappa score.png
BIN
data_result/statistics/byAlgorithm/statistic-GB-f1 score.png
BIN
data_result/statistics/byAlgorithm/statistic-KNN-cohens kappa score.png
BIN
data_result/statistics/byAlgorithm/statistic-KNN-f1 score.png
BIN
data_result/statistics/byAlgorithm/statistic-LR-cohens kappa score.png
BIN
data_result/statistics/byAlgorithm/statistic-LR-f1 score.png
BIN
data_result/statistics/byDataset/statistic-Average-cohens kappa score.png
BIN
data_result/statistics/byDataset/statistic-Average-f1 score.png
BIN
data_result/statistics/byDataset/statistic-Average.png
BIN
data_result/statistics/byDataset/statistic-abalone9-18-cohens kappa score.png
BIN
data_result/statistics/byDataset/statistic-abalone9-18-f1 score.png
BIN
data_result/statistics/byDataset/statistic-abalone9-18.png
BIN
data_result/statistics/byDataset/statistic-abalone_17_vs_7_8_9_10-cohens kappa score.png
BIN
data_result/statistics/byDataset/statistic-abalone_17_vs_7_8_9_10-f1 score.png
BIN
data_result/statistics/byDataset/statistic-abalone_17_vs_7_8_9_10.png
BIN
data_result/statistics/byDataset/statistic-car-vgood-cohens kappa score.png
BIN
data_result/statistics/byDataset/statistic-car-vgood-f1 score.png
BIN
data_result/statistics/byDataset/statistic-car-vgood.png
BIN
data_result/statistics/byDataset/statistic-car_good-cohens kappa score.png
BIN
data_result/statistics/byDataset/statistic-car_good-f1 score.png
BIN
data_result/statistics/byDataset/statistic-car_good.png
BIN
data_result/statistics/byDataset/statistic-creditcard.png
BIN
data_result/statistics/byDataset/statistic-flare-F-cohens kappa score.png
BIN
data_result/statistics/byDataset/statistic-flare-F-f1 score.png
BIN
data_result/statistics/byDataset/statistic-flare-F.png
BIN
data_result/statistics/byDataset/statistic-hypothyroid-cohens kappa score.png
BIN
data_result/statistics/byDataset/statistic-hypothyroid-f1 score.png
BIN
data_result/statistics/byDataset/statistic-hypothyroid.png
BIN
data_result/statistics/byDataset/statistic-kddcup-guess_passwd_vs_satan-cohens kappa score.png
BIN
data_result/statistics/byDataset/statistic-kddcup-guess_passwd_vs_satan-f1 score.png
BIN
data_result/statistics/byDataset/statistic-kddcup-guess_passwd_vs_satan.png
BIN
data_result/statistics/byDataset/statistic-kr-vs-k-three_vs_eleven-cohens kappa score.png
BIN
data_result/statistics/byDataset/statistic-kr-vs-k-three_vs_eleven-f1 score.png
BIN
data_result/statistics/byDataset/statistic-kr-vs-k-three_vs_eleven.png
BIN
data_result/statistics/byDataset/statistic-kr-vs-k-zero-one_vs_draw-cohens kappa score.png
BIN
data_result/statistics/byDataset/statistic-kr-vs-k-zero-one_vs_draw-f1 score.png
BIN
data_result/statistics/byDataset/statistic-kr-vs-k-zero-one_vs_draw.png
BIN
data_result/statistics/byDataset/statistic-mammography.png
BIN
data_result/statistics/byDataset/statistic-ozone_level.png
BIN
data_result/statistics/byDataset/statistic-protein_homo.png
BIN
data_result/statistics/byDataset/statistic-shuttle-2_vs_5-cohens kappa score.png
BIN
data_result/statistics/byDataset/statistic-shuttle-2_vs_5-f1 score.png
BIN
data_result/statistics/byDataset/statistic-shuttle-2_vs_5.png
BIN
data_result/statistics/byDataset/statistic-webpage.png
BIN
data_result/statistics/byDataset/statistic-winequality-red-4-cohens kappa score.png
BIN
data_result/statistics/byDataset/statistic-winequality-red-4-f1 score.png
BIN
data_result/statistics/byDataset/statistic-winequality-red-4.png
BIN
data_result/statistics/byDataset/statistic-yeast4-cohens kappa score.png
BIN
data_result/statistics/byDataset/statistic-yeast4-f1 score.png
BIN
data_result/statistics/byDataset/statistic-yeast4.png
BIN
data_result/statistics/byDataset/statistic-yeast5-cohens kappa score.png
BIN
data_result/statistics/byDataset/statistic-yeast5-f1 score.png
BIN
data_result/statistics/byDataset/statistic-yeast5.png
BIN
data_result/statistics/byDataset/statistic-yeast6-cohens kappa score.png
BIN
data_result/statistics/byDataset/statistic-yeast6-f1 score.png
BIN
data_result/statistics/byDataset/statistic-yeast6.png
BIN
data_result/statistics/average/statistic-Average-cohens kappa score.png
Ver Ficheiro
BIN
data_result/statistics/average/statistic-Average-f1 score.png
Ver Ficheiro
BIN
data_result/statistics/byAlgorithm/statistic-DoG-cohens kappa score.png
Ver Ficheiro
BIN
data_result/statistics/byAlgorithm/statistic-DoG-f1 score.png
Ver Ficheiro
BIN
data_result/statistics/byAlgorithm/statistic-GAN-cohens kappa score.png
Ver Ficheiro
BIN
data_result/statistics/byAlgorithm/statistic-GAN-f1 score.png
Ver Ficheiro
BIN
data_result/statistics/byAlgorithm/statistic-GB-cohens kappa score.png
Ver Ficheiro
BIN
data_result/statistics/byAlgorithm/statistic-GB-f1 score.png
Ver Ficheiro
BIN
data_result/statistics/byAlgorithm/statistic-KNN-cohens kappa score.png
Ver Ficheiro
BIN
data_result/statistics/byAlgorithm/statistic-KNN-f1 score.png
Ver Ficheiro
BIN
data_result/statistics/byAlgorithm/statistic-LR-cohens kappa score.png
Ver Ficheiro
BIN
data_result/statistics/byAlgorithm/statistic-LR-f1 score.png
Ver Ficheiro
BIN
data_result/statistics/byDataset/statistic-Average-cohens kappa score.png
Ver Ficheiro
BIN
data_result/statistics/byDataset/statistic-Average-f1 score.png
Ver Ficheiro
BIN
data_result/statistics/byDataset/statistic-Average.png
Ver Ficheiro
BIN
data_result/statistics/byDataset/statistic-abalone9-18-cohens kappa score.png
Ver Ficheiro
BIN
data_result/statistics/byDataset/statistic-abalone9-18-f1 score.png
Ver Ficheiro
BIN
data_result/statistics/byDataset/statistic-abalone9-18.png
Ver Ficheiro
BIN
data_result/statistics/byDataset/statistic-abalone_17_vs_7_8_9_10-cohens kappa score.png
Ver Ficheiro
BIN
data_result/statistics/byDataset/statistic-abalone_17_vs_7_8_9_10-f1 score.png
Ver Ficheiro
BIN
data_result/statistics/byDataset/statistic-abalone_17_vs_7_8_9_10.png
Ver Ficheiro
BIN
data_result/statistics/byDataset/statistic-car-vgood-cohens kappa score.png
Ver Ficheiro
BIN
data_result/statistics/byDataset/statistic-car-vgood-f1 score.png
Ver Ficheiro
BIN
data_result/statistics/byDataset/statistic-car-vgood.png
Ver Ficheiro
BIN
data_result/statistics/byDataset/statistic-car_good-cohens kappa score.png
Ver Ficheiro
BIN
data_result/statistics/byDataset/statistic-car_good-f1 score.png
Ver Ficheiro
BIN
data_result/statistics/byDataset/statistic-car_good.png
Ver Ficheiro
BIN
data_result/statistics/byDataset/statistic-creditcard.png
Ver Ficheiro
BIN
data_result/statistics/byDataset/statistic-flare-F-cohens kappa score.png
Ver Ficheiro
BIN
data_result/statistics/byDataset/statistic-flare-F-f1 score.png
Ver Ficheiro
BIN
data_result/statistics/byDataset/statistic-flare-F.png
Ver Ficheiro
BIN
data_result/statistics/byDataset/statistic-hypothyroid-cohens kappa score.png
Ver Ficheiro
BIN
data_result/statistics/byDataset/statistic-hypothyroid-f1 score.png
Ver Ficheiro
BIN
data_result/statistics/byDataset/statistic-hypothyroid.png
Ver Ficheiro
BIN
data_result/statistics/byDataset/statistic-kddcup-guess_passwd_vs_satan-cohens kappa score.png
Ver Ficheiro
BIN
data_result/statistics/byDataset/statistic-kddcup-guess_passwd_vs_satan-f1 score.png
Ver Ficheiro
BIN
data_result/statistics/byDataset/statistic-kddcup-guess_passwd_vs_satan.png
Ver Ficheiro
BIN
data_result/statistics/byDataset/statistic-kr-vs-k-three_vs_eleven-cohens kappa score.png
Ver Ficheiro
BIN
data_result/statistics/byDataset/statistic-kr-vs-k-three_vs_eleven-f1 score.png
Ver Ficheiro
BIN
data_result/statistics/byDataset/statistic-kr-vs-k-three_vs_eleven.png
Ver Ficheiro
BIN
data_result/statistics/byDataset/statistic-kr-vs-k-zero-one_vs_draw-cohens kappa score.png
Ver Ficheiro
BIN
data_result/statistics/byDataset/statistic-kr-vs-k-zero-one_vs_draw-f1 score.png
Ver Ficheiro
BIN
data_result/statistics/byDataset/statistic-kr-vs-k-zero-one_vs_draw.png
Ver Ficheiro
BIN
data_result/statistics/byDataset/statistic-mammography.png
Ver Ficheiro
BIN
data_result/statistics/byDataset/statistic-ozone_level.png
Ver Ficheiro
BIN
data_result/statistics/byDataset/statistic-protein_homo.png
Ver Ficheiro
BIN
data_result/statistics/byDataset/statistic-shuttle-2_vs_5-cohens kappa score.png
Ver Ficheiro
BIN
data_result/statistics/byDataset/statistic-shuttle-2_vs_5-f1 score.png
Ver Ficheiro
BIN
data_result/statistics/byDataset/statistic-shuttle-2_vs_5.png
Ver Ficheiro
BIN
data_result/statistics/byDataset/statistic-webpage.png
Ver Ficheiro
BIN
data_result/statistics/byDataset/statistic-winequality-red-4-cohens kappa score.png
Ver Ficheiro
BIN
data_result/statistics/byDataset/statistic-winequality-red-4-f1 score.png
Ver Ficheiro
BIN
data_result/statistics/byDataset/statistic-winequality-red-4.png
Ver Ficheiro
BIN
data_result/statistics/byDataset/statistic-yeast4-cohens kappa score.png
Ver Ficheiro
BIN
data_result/statistics/byDataset/statistic-yeast4-f1 score.png
Ver Ficheiro
BIN
data_result/statistics/byDataset/statistic-yeast4.png
Ver Ficheiro
BIN
data_result/statistics/byDataset/statistic-yeast5-cohens kappa score.png
Ver Ficheiro
BIN
data_result/statistics/byDataset/statistic-yeast5-f1 score.png
Ver Ficheiro
BIN
data_result/statistics/byDataset/statistic-yeast5.png
Ver Ficheiro
BIN
data_result/statistics/byDataset/statistic-yeast6-cohens kappa score.png
Ver Ficheiro
BIN
data_result/statistics/byDataset/statistic-yeast6-f1 score.png
Ver Ficheiro
BIN
data_result/statistics/byDataset/statistic-yeast6.png
Ver Ficheiro